您现在所在的位置:>首页 > 生活 > 正文
中国大学排名分数线(各高校录取分数线已经陆续公布,所以2019年中国大学录取分数排行榜是怎么样的)
发布时间:2022-09-24 18:05   浏览量:20

高考录取正在紧张有序的进行着,高考提前批的录取工作已经结束。目前大部分省份高考一批次开始录取,前天广东、广西两省已率先公布了各高校本科一批录取分数线,河南省昨天也开始本科一批的录取工作,预计七月下旬有相当一部分考生就会收到录取通知书。因此,考生尚需耐着性子,再等一段时间。

目前虽说部分省份的录取分数线已经公布,但是大部分省份还没有出炉,所以2019年的中国大学录取分数排行榜不可能公布于众。录取分数线排名如何,只有等录取结束,一切才能见分晓。

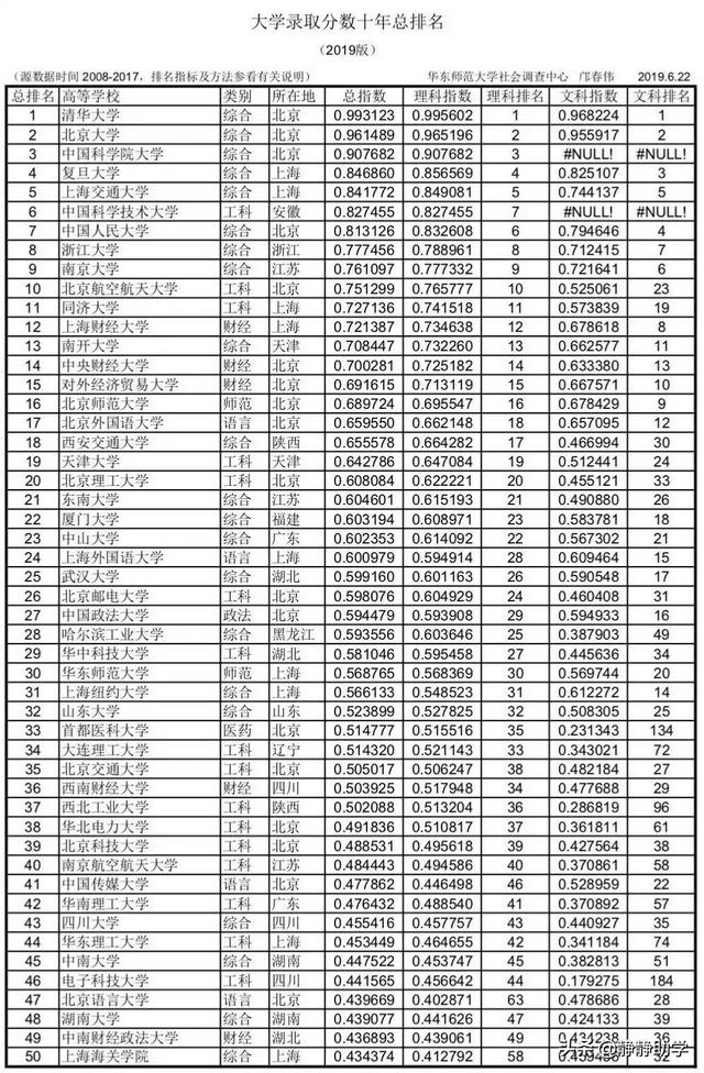
下面我们来看看2008年到2017年十年间,大学录取分数线总排名,或许可以作为参考!

在这份榜单中,清华、北大毫无悬念地占据了第一、第二的宝座。其实,在很多省份,这两所高校的录取分数线也就一分之差,可以说是伯仲之间。

中国科学院大学虽然是双非院校,但是录取分数线却高居第三位?原因何在,因为中国科学院大学实力强大,学校本身是研究生院,2014年国科大开始招收本科生,而且只是面对十几个省份,招收400名左右本科生,录取分数线也是杠杠滴! 复旦、上交、中科大、浙江大学、南京大学作为华东五校,实力强大,每年在各省的录取分数线也是位居全国高校前列。 位居前十的还有中国人民大学和北航。中国人民大学是人文社科类最好的大学,倍受文科生的青睐;北航为理工类大学,其专业特色无与伦比。

录取分数线位居11——20之间的,除了“两财一贸”、北外是211大学,其他均为985大学。“两财一贸”作为财经类特色行业高校,因其特殊的地理位置和热门专业,倍受考生青睐,录取分数线也是居高不下。

北京外国语大学是语言类大学,学科实力强大。

录取分数线位居21——30之间的211大学有上海外国语大学、北邮、中国政法大学,其他都是985大学。

位于31名的上海纽约大学,可能出乎人们的意料。上海纽约大学是中美合作国际化的综合性大学,面向全球招收本科生、硕士生和博士生,录取分数线也比较高。

录取分数线位居前五十名之内的双非院校还有上海海关学院。因其特殊的性质,较高的就业率而倍受考生青睐。

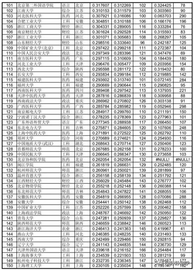
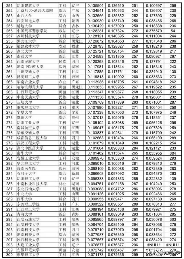
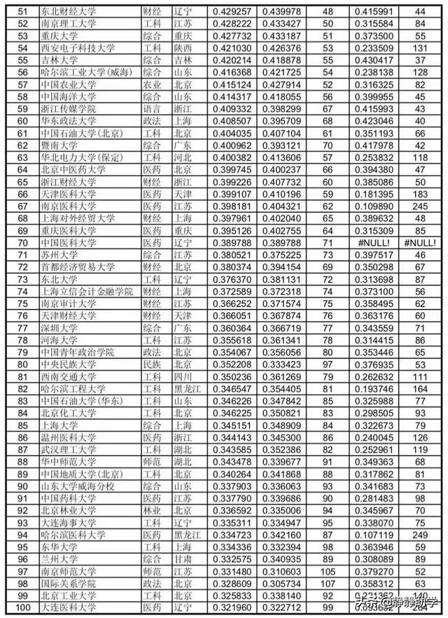
下面我们再看看其他院校录取分数线排名:






怎么样?对这份榜单你认可吗?前面已经说了,排名仅供参考而已,具体情况如何,还要以各高校的录取为准。高考录取进行时,祝大家金榜题名!

标签:
入队前我做的一件好事(入少先队前做一件有意义的事) 黑龙江教育信息网站(黑龙江省建设教育信息网到现在还是打不开 长沙铁路第一中学录取线(湖南铁路科技职业技术学院和湖南铁道 安徽文达信息(听说安徽文达信息工程学院在评估,我今年被录取 法国用英语怎么说(国家名称英语单词十六个) 二批录取时间(2020届高考一本二本大概什么时候录取,录取时间 南京航天航空大学是985吗(我想问一下南京航空航天大学是985吗 西安思源学院代码(西安思源学院的五年制大专都有什么专业) 湖北课改网手机登不了(湖北高中课改总登陆平台怎么登不进去啊 汽车图片简笔画(汽车简笔画有多少个长方形)